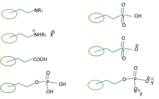
超分散劑的結構。分子結構按其具有的性質和功能可分為兩部分:一部分為錨固基團:如-NR2、-NR3+、-COOH、-SO3H、-PO4H2、-SO3-、-PO42-、多元胺、多元醇及聚醚等(如圖),它通過離子鍵、共價鍵、氫鍵及范德華力等作用形式緊緊地吸附于顆粒表面,不易脫附,錨固段在整個超分散劑分子結構中所占比例很小,一般占10
~
20%,并要求分散介質是它的不良溶劑。另一部分為溶劑化鏈,這部分將直接決定分散后顆粒在分散介質中的穩定性。這就要求溶劑化鏈對分散介質有較好的親和力,同時要具有足夠的碳鏈長度,以形成足夠厚的溶劑化層以克服顆粒間引力,對分散體系起到空間穩定的作用。

分散劑的結構及作用方式可根據顏料表面的極性進行設計或者選擇。對于強極性無機顏料,超分散劑的錨固基團采用強極性基團,該基團能與顏料顆粒表面反應生成離子鍵,并通過離子鍵將超分散劑吸附在顏料顆粒表面,可以產生很強的結合力,并且通常采用單點錨固基團的分散劑就可以起到很好的分散效果。
對于弱極性有機顏料,超分散劑的錨固基團相應選用弱極性基團,一般通過氫鍵吸附于顏料顆粒表面。由于單個弱極性基團的吸附強度不夠,錨固基團的數量應相應增加,選用多點錨固基團的分散劑。

超分散劑的穩定機理電荷相斥。顏料顆粒在水性體系溶劑中其表面帶有電荷。通過分散劑的使用,有可能使電荷增強,并使所有的顏料顆粒帶有相同的電荷,相反電荷的離子聚集在顏料表面附近(在液相)。



